氨气选择性催化氧化(NH3-SCO)是消除脱硝装置中逃逸氨气的关键技术,广泛应用于固定源与移动源尾气治理体系中。迄今,研究者已经开发了多类NH3-SCO催化材料,其中,Pt基催化剂因具备优异的低温活性与良好的稳定性而备受关注。然而,Pt催化剂普遍存在显著的尺寸效应:尺寸较小的Pt颗粒通常表现出更强的NO吸附能力,从而提升整体选择性;但过强的NO吸附会扰乱反应路径平衡,导致活性下降。此前的研究表明,强Pt–NO相互作用会限制200 °C 以下NHx物种的脱氢,而在250 °C以上,高温下NO的过度脱附则会引发N2选择性急剧下降。

为了限制高温下NO的脱附,本团队通过原子层沉积(ALD)技术,将亚纳米级Pt簇(约0.72 nm)精确限制在Cu-USY分子筛的微孔结构中,从而构筑出紧密耦合的限域Pt–Cu双位点催化剂(图1)。在模拟尾气条件下,该限域型催化剂在170–300 °C的超宽温区内同时实现>90% NH3转化率和>90% N2选择性。
通过HAADF-STEM和HRTEM(图2)直接观测到,采用ALD技术在150 °C下沉积的Pt团簇平均尺寸仅为0.72 nm,且均匀分布在USY沸石内部。氮气吸附-脱附等温线分析进一步证实,Pt负载后催化剂的比表面积和微孔体积显著下降,这表明Pt团簇被成功限制在沸石的微孔道内,为串联反应提供了理想的纳米反应器。

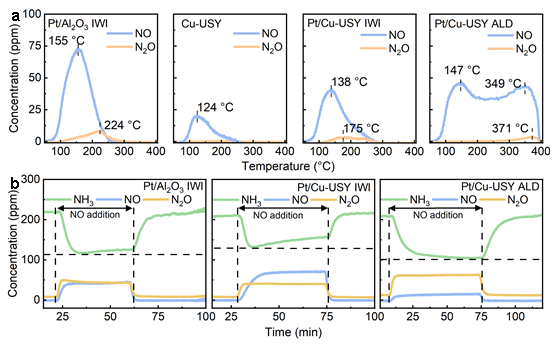
如图3所示,在模拟真实尾气条件的评价中,Pt/Cu-USY ALD催化剂展现出优异性能:NH3的50%转化温度低至170 °C,远优于对比样品Pt/Cu-USY IWI的196 °C。更为重要的是,其N2选择性在170-300°C的整个区间内均保持在90%以上。动力学分析表明,其周转频率高达1.25 s-1,本征活性显著提升,且对NH3的反应级数接近于零,显示出优异的抗NH3和NO中毒能力。

图4(a)中NO-TPD实验发现,Pt/Cu-USY ALD催化剂在349 °C出现了一个独特的强NO脱附峰,这表明限域效应极大地增强了催化剂对NO的吸附能力和作用强度,有利于NO在高温下被进一步转化,而非直接脱附导致选择性下降。图4(b)中NO干扰实验表明,NO会促进Pt/Cu-USY ALD催化剂表面的i-SCR反应,而不是毒化Pt位点。

原位DRIFTS研究为研究NOx物种的储存提供了关键证据,如图5所示。在反应条件下,传统的Pt/Al2O3 IWI和Pt/Cu-USY IWI催化剂表面主要积累自由硝酸盐物种,这些物种会毒化活性位。而Pt/Cu-USY ALD催化剂的表面则主要由N2O4和NO+物种主导。这些物种的形成能垒更低,且不易导致位点中毒,从而在低温下高效存储NOx,并在升温后参与后续反应。

基于所有实验证据,研究团队绘制出清晰的反应路径,如图6所示。该图阐明:限域在超笼内的富电子Pt团簇负责高效活化NH3并生成NOx中间体;这些中间体被优先转化为N2O4/NO+,并迅速迁移至相邻的[Cu(OH)]+位点;随后,在Cu位点上发生快速的内选择性催化还原反应,将NOx与NH3直接转化为N2和H2O。这种空间上限域耦合、功能上协同串联的机制,是同时攻克低温活性与高温选择性难题的关键。

本研究的核心思路是,将传统的“追踪治理”策略升维为“画地为牢、请君入瓮”的主动布局。研究者巧妙利用USY沸石的规则孔道构建“纳米级微牢笼”,精准布置于反应中间体NO的必经路径上。该微牢笼不仅提供了物理空间的静态约束,还通过Pt–Cu的电子协同效应,实现了对反应物能量的动态调控与高效转化。
相关成果以“Tandem confinement of sub-nanometer Pt–Cu sites in USY zeolite enables high NH3-SCO selectivity across an ultra-wide temperature window”为题发表在国际著名期刊Journal of Catalysis上。英格兰vs伊朗预测 材料学院刘艳飞博士为第一作者,材料学院杜纯老师、单斌教授和机械学院陈蓉教授为论文的共同通讯作者,英格兰vs伊朗预测 材料学院浦艳波、徐洁、顿耀辉、以及清华大学博士王成雄、昆明贵金属研究所赵云昆教授、澳大利亚悉尼大学Jun Huang教授共同参与了该项研究工作。此项工作对于设计开发近零排放ASC催化剂具有重要意义。